Paper List
-
Exactly Solvable Population Model with Square-Root Growth Noise and Cell-Size Regulation
This paper addresses the fundamental gap in understanding how microscopic growth fluctuations, specifically those with size-dependent (square-root) no...
-
Assessment of Simulation-based Inference Methods for Stochastic Compartmental Models
This paper addresses the core challenge of performing accurate Bayesian parameter inference for stochastic epidemic models when the likelihood functio...
-
Realistic Transition Paths for Large Biomolecular Systems: A Langevin Bridge Approach
This paper addresses the core challenge of generating physically realistic and computationally efficient transition paths between distinct protein con...
-
MoRSAIK: Sequence Motif Reactor Simulation, Analysis and Inference Kit in Python
This work addresses the computational bottleneck in simulating prebiotic RNA reactor dynamics by developing a Python package that tracks sequence moti...
-
The BEAT-CF Causal Model: A model for guiding the design of trials and observational analyses of cystic fibrosis exacerbations
This paper addresses the critical gap in cystic fibrosis exacerbation management by providing a formal causal framework that integrates expert knowled...
-
A Theoretical Framework for the Formation of Large Animal Groups: Topological Coordination, Subgroup Merging, and Velocity Inheritance
This paper addresses the core problem of how large, coordinated animal groups form in nature, challenging the classical view of gradual aggregation by...
-
ANNE Apnea Paper
This paper addresses the core challenge of achieving accurate, event-level sleep apnea detection and characterization using a non-intrusive, multimoda...
-
DeeDeeExperiment: Building an infrastructure for integrating and managing omics data analysis results in R/Bioconductor
This paper addresses the critical bottleneck of managing and organizing the growing volume of differential expression and functional enrichment analys...
Exactly Solvable Population Model with Square-Root Growth Noise and Cell-Size Regulation
Institute for Theoretical Physics, Department of Physics, Utrecht University, Utrecht, Netherlands | Centre for Complex Systems Studies, Utrecht University, Utrecht, Netherlands
The 30-Second View
IN SHORT: This paper addresses the fundamental gap in understanding how microscopic growth fluctuations, specifically those with size-dependent (square-root) noise, shape population-level fitness and statistics in cell populations, providing an exactly solvable model that contrasts sharply with existing size-independent noise models.
Innovation (TL;DR)
- Theory Demonstrates that the asymptotic population growth rate Λ is exactly equal to the mean single-cell growth rate k, independent of noise strength σ and division mechanisms, establishing square-root growth noise as neutral for long-term fitness.
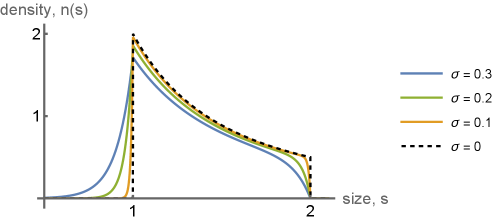
- Methodology Derives exact, closed-form expressions for the steady-state snapshot cell-size distribution, showing it results from a universal one-sided exponential convolution of the deterministic inverse-square-law solution, with kernel width σ².
- Theory Proves that the mean-rescaled population size Nt/⟨Nt⟩ converges to a stationary compound Poisson–exponential distribution determined solely by the growth noise parameter σ, independent of division or partitioning noise.
Key conclusions
- Population growth rate Λ = k exactly, demonstrating fitness neutrality of square-root noise (contrasting with models where Λ increases with variance of size-independent noise).
- Steady-state population mean cell size shifts by -σ² (e.g., ⟨s⟩pop = 2ln2 - σ² + O(e^{-1/σ²})), while variance is modified only at order σ⁴, showing a hierarchy of decoupling.
- The coefficient of variation of total cell number saturates to √(2σ²), and the full distribution of the mean-rescaled population size is a compound Poisson–exponential, providing concrete, testable signatures.
Abstract: We analyze a size-structured branching process in which individual cells grow exponentially according to a Feller square-root process and divide under general size-control mechanisms. We obtain exact expressions for the asymptotic population growth rate, the steady-state snapshot distribution of cell sizes, and the fluctuations of the total cell number. Our first result is that the population growth rate is exactly equal to the mean single-cell growth rate, for all noise strengths and for all division and size-regulation schemes that maintain size homeostasis. Thus square-root growth noise is neutral with respect to long-term fitness, in sharp contrast to models with size-independent stochastic growth rates. Second, we show that the steady-state population cell-size distribution is obtained from the deterministic inverse-square-law solution by a one-sided exponential convolution with kernel width set by the strength of growth fluctuations. Third, the mean-rescaled population size Nt/⟨Nt⟩ converges to a stationary compound Poisson–exponential distribution that depends only on growth noise. This distribution, and hence the long-time shape of population-size fluctuations, is unchanged by division-size noise or asymmetric partitioning. These results identify Feller-type exponential growth with square-root noise as an exactly solvable benchmark for stochastic growth in size-controlled populations and provide concrete signatures that distinguish it from models with size-independent growth-rate noise.