Paper List
-
Simulation and inference methods for non-Markovian stochastic biochemical reaction networks
This paper addresses the computational bottleneck of simulating and performing Bayesian inference for non-Markovian biochemical systems with history-d...
-
Translating Measures onto Mechanisms: The Cognitive Relevance of Higher-Order Information
This review addresses the core challenge of translating abstract higher-order information theory metrics (e.g., synergy, redundancy) into defensible, ...
-
Emergent Bayesian Behaviour and Optimal Cue Combination in LLMs
This paper addresses the critical gap in understanding whether LLMs spontaneously develop human-like Bayesian strategies for processing uncertain info...
-
Vessel Network Topology in Molecular Communication: Insights from Experiments and Theory
This work addresses the critical lack of experimentally validated channel models for molecular communication within complex vessel networks, which is ...
-
Modulation of DNA rheology by a transcription factor that forms aging microgels
This work addresses the fundamental question of how the transcription factor NANOG, essential for embryonic stem cell pluripotency, physically regulat...
-
Imperfect molecular detection renormalizes apparent kinetic rates in stochastic gene regulatory networks
This paper addresses the core challenge of distinguishing genuine stochastic dynamics of gene regulatory networks from artifacts introduced by imperfe...
-
Approximate Bayesian Inference on Mechanisms of Network Growth and Evolution
This paper addresses the core challenge of inferring the relative contributions of multiple, simultaneous generative mechanisms in network formation w...
-
An AI Implementation Science Study to Improve Trustworthy Data in a Large Healthcare System
This paper addresses the critical gap between theoretical AI research and real-world clinical implementation by providing a practical framework for as...
Simulation and inference methods for non-Markovian stochastic biochemical reaction networks
School of Mathematical Sciences, Queensland University of Technology | Centre for Data Science, Queensland University of Technology | ARC Centre of Excellence for Mathematical Analysis of Cellular Systems (MACSYS), Queensland University of Technology
The 30-Second View
IN SHORT: This paper addresses the computational bottleneck of simulating and performing Bayesian inference for non-Markovian biochemical systems with history-dependent delays, which are crucial for modeling processes like gene transcription but are prohibitively expensive with existing methods.
Innovation (TL;DR)
- Methodology Generalizes the next reaction method and τ-leaping to support arbitrary inter-event time distributions for non-Markovian systems, maintaining computational scalability.
- Methodology Introduces a novel coupling scheme to generate positively correlated exact and approximate non-Markovian sample paths, a prerequisite for variance reduction techniques.
- Methodology Enables the application of multifidelity and multilevel Monte Carlo (MLMC) methods to non-Markovian systems for the first time, bridging a significant methodological gap.
Key conclusions
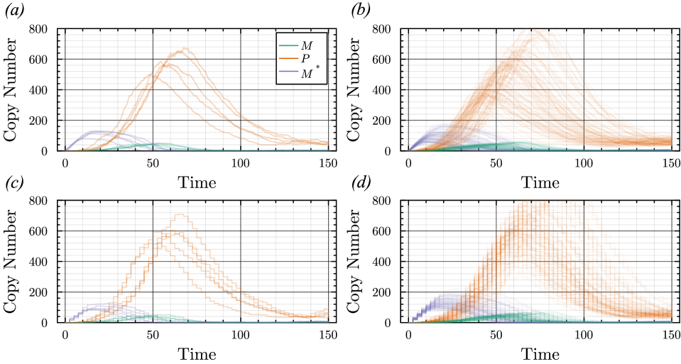
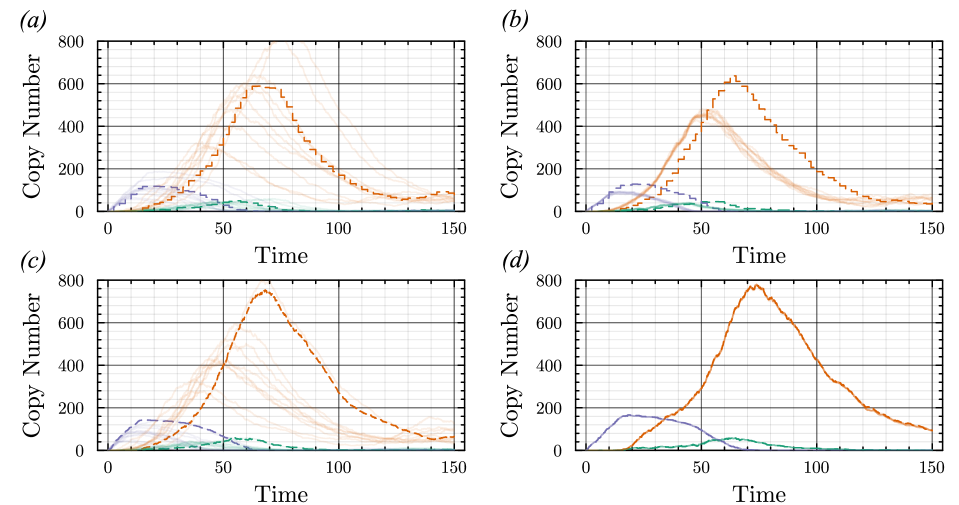
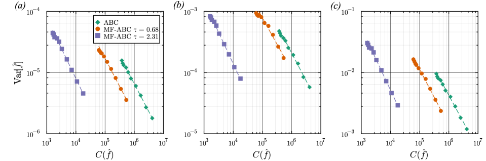
- The proposed non-Markovian simulation algorithms and coupling scheme successfully enable multifidelity inference, demonstrated on a gene regulation model with delayed auto-inhibition.
- The method achieves a computational speedup of two orders of magnitude (100x) in inference efficiency compared to standard approaches for the non-Markovian case study.
- The framework supports arbitrary delay distributions (state- and time-dependent), significantly extending the practical modeling scope beyond previous methods limited to simpler, time-only delays.
Abstract: Stochastic models of biochemical reaction networks are widely used to capture intrinsic noise in cellular systems. The typical formulation of these models are based on Markov processes for which there is extensive research on efficient simulation and inference. However, there are biological processes, such as gene transcription and translation, that introduce history dependent dynamics requiring non-Markovian processes to accurately capture the stochastic dynamics of the system. This greater realism comes with additional computational challenges for simulation and parameter inference. We develop efficient stochastic simulation algorithms for well-mixed non-Markovian stochastic biochemical reaction networks with delays that depend on system state and time. Our methods generalize the next reaction method and τ-leaping method to support arbitrary inter-event time distributions while preserving computational scalability. We also introduce a coupling scheme to generate exact non-Markovian sample paths that are positively correlated to an approximate non-Markovian τ-leaping sample path. This enables substantial computational gains for Bayesian inference of model parameters though multifidelity simulation-based inference schemes. We demonstrate the effectiveness of our approach on a gene regulation model with delayed auto-inhibition, showing substantial gains in both simulation accuracy and inference efficiency of two orders of magnitude. These results extend the practical applicability of non-Markovian models in systems biology and beyond.